Đề Thi Cuối học kì 2 Sinh Học 12 Mã ESCK212-06 (2026-2027)

Mục lục [Ẩn]

Chọn đến phần học sinh cần nhanh chóng thông qua mục lục bằng cách click đến phần đó

PHẦN 1: TRẮC NGHIỆM NHIỀU LỰA CHỌN

Câu 1: Xác côn trùng trong hổ phách được phát hiện từ đại cổ sinh thuộc bằng chứng tiến hóa nào sau đây?

A. Giải phẫu so sánh

B. Sinh học phân tử

C. Hóa thạch

D. Tế bào học

Câu 2: Nhân tố tiến hóa nào sau đây được xem là nguồn nguyên liệu sơ cấp cho quá trình tiến hóa?

A. Đột biến

B. Dòng gene

C. Phiêu bạt di truyền

D. Chọn lọc tự nhiên

Câu 3: Trật tự nào sau đây đúng khi nói về sự phát sinh và hình thành sự sống đa dạng như ngày nay?

A. Tiến hóa hóa học → tiến hóa sinh học → Tiến hóa tiền sinh học

B. Tiến hóa hóa học → tiến hóa tiền sinh học → Tiến hóa sinh học

C. Tiến hóa sinh học→ Tiến hóa hóa học → Tiến hóa tiền sinh học

D. Tiến hóa tiền sinh học →Tiến hóa hóa học → tiến hóa sinh học

Câu 4: Đâu không phải là nhân tố hữu sinh?

A. Mèo

B. Hổ

C. Ánh sáng

D. Voi

Câu 5. Tỉ lệ giữa số lượng cá thể đực và số lượng cá thể cái trong quần thể được gọi là

A. tỉ lệ giới tính.

B. kích thước quần thể.

C. nhóm tuổi.

D. mật độ cá thể.

Câu 6: Cá hồi ( Salmo sola), sinh ra và lớn lên ở vùng nước ngọt, đến khi trưởng thành chúng bơi ra vùng nước mặn để sinh sống, đến mùa sinh sản chúng quay về vùng nước ngọt đẻ trứng. Hãy cho biết hiện tượng trên minh họa cho sự tác động của quy luật sinh thái nào?

A. Sự tác động qua lại giữa sinh vật và môi trường

B. Tác động không đồng đều của các nhân tố sinh thái

C. Giới hạn sinh thái

D. Tác động tổng hợp của các nhân tố sinh thái

Câu 7. Cho các ví dụ sau, ví dụ nào minh họa là là một quần thể sinh vật?

A. Tập hợp các con cá chép trong một ao

B. Tập hợp các con chim trong rừng

C. Tập hợp các con cá trong một ao

D. Tập hợp các cây trong một vườn trường

Câu 8: Đâu không phải là đặc trưng của quần xã sinh vật?

A. Tỉ lệ giới tính

B. Loài ưu thế

C. Loài đặc trưng

D. Loài chủ chốt

Câu 9. Trong vùng thủy triều đỏ ven biển gây ra do loài tảo 2 roi (Dinoflagellata) thường làm cho loài thủy sinh vật bị chết hàng loạt, nhất là những loài giáp xác, cá ăn nổi. Đây là ví dụ biểu hiện mối quan hệ sinh thái

A. sinh vật này ăn sinh vật khác.

B. ức chế – cảm nhiễm.

C. ký sinh – vật chủ.

D. cạnh tranh.

Câu 10: Khi nói về hệ sinh thái trên cạn, phát biểu nào sau đây đúng?

A. Thực vật đóng vai trò chủ yếu trong việc truyền năng lượng từ môi trường vô sinh vào quần xã sinh vật.

B. Sự thất thoát năng lượng qua mỗi bậc dinh dưỡng trong hệ sinh thái là không đáng kể.

C. Vật chất và năng lượng đều được trao đổi theo vòng tuần hoàn kín.

D. Vi khuẩn là nhóm sinh vật duy nhất có khả năng phân giải các chất hữu cơ thành các chất vô cơ.

Câu 11: Hệ sinh thái là một hệ thống sinh học hoàn chỉnh và tương đối ổn định vì các sinh vật trong quần xã luôn?

A. cạnh tranh với nhau, đồng thời tác động với các thành phần vô sinh của sinh cảnh

B. tác động qua lại lẫn nhau

C. tác động với các thành phần vô sinh của sinh cảnh

D. tác động lẫn nhau, đồng thời tác động lên các thành phần vô sinh của sinh cảnh

Câu 12. Trong các quần xã sinh vật sau đây, quần xã nào thường có sự phân tầng mạnh nhất?

A. Quần xã rừng nhiệt đới.

B. Quần xã đồng rêu hàn đới.

C. Quần xã đồng cỏ.

D. Quần xã đồng ruộng có nhiều loài cây.

Câu 13. Giả sử một quần xã có lưới thức ăn gồm 7 loài được kí hiệu là: A, B, C, D, E, G, H. Trong đó loài A là sinh vật sản xuất, các loài còn lại là sinh vật tiêu thụ. Theo lí thuyết, có bao nhiêu phát biểu sau đây đúng khi nói về lưới thức ăn này?

I. Chuỗi thức ăn dài nhất có 6 bậc dinh dưỡng.

II. Có tổng số 11 chuỗi thức ăn.

III. Nếu loại bỏ bớt cá thể của loài A thì tất cả các loài còn lại đều giảm số lượng cá thể.

IV. Nếu loài A bị nhiễm độc ở nồng độ thấp thì loài C sẽ bị nhiễm độc ở nồng độ cao hơn so với loài A.

A. 1.

B. 2.

C. 4.

D. 3.

Câu 14 Khi nói về thành phần hữu sinh trong hệ sinh thái, phát biểu nào sau đây đúng?

A. Tất cả nấm đều là sinh vật phân giải.

B. Sinh vật tiêu thụ bậc 3 luôn có sinh khối lớn hơn sinh vật tiêu thụ bậc 2.

C. Tất cả các loài động vật ăn thịt thuộc cùng một bậc dinh dưỡng.

D. Vi sinh vật tự dưỡng được xếp vào nhóm sinh vật sản xuất.

Câu 15. Hệ sinh thái được phân chia ra làm 2 loại là hệ sinh thái tự nhiên và hệ sinh thái nhân tạo là căn cứ vào đâu?

A. Nguồn gốc

B. Sinh vật sản xuất

C. Sinh vật tiêu thụ

D. Sinh vật phân giải

Câu 16. Đâu không phải là dạng quan hệ hỗ trợ giữa các loài trong quần xã sinh vật?

A. Hội sinh

B. Cộng sinh

C. Hợp tác

D. Kí sinh

Câu 17. Sinh vật có khả năng chuyển hóa năng lượng ánh sáng mặt trời, năng lượng hóa học để chuyển CO₂ thành chất hữu cơ được gọi là?

A. Sinh vật kí sinh

B. Sinh vật sản xuất

C. Sinh vật tiêu thụ

D. Sinh vật phân giải

Câu 18. Mối quan hệ giữa các cá thể của 2 hay nhiều loài, trong đó các cá thể của 1 loài được hưởng lợi, nhưng các cá thể của loài khác không được hưởng lợi gì là minh họa cho mối quan hệ nào?

A. Hội sinh

B. Cộng sinh

C. Hợp tác

D. ức chế – cảm nhiễm

PHẦN II: CÂU HỎI LỰA CHỌN ĐÚNG SAI

Câu 19: Trong 1 khu vườn, người ta trồng xen các loài cây với nhau. Hãy cho biết những nhận định nào đúng, nhận định nào sai về lợi ích của kĩ thuật trồng xen?

I. Tận dụng diện tích gieo trồng.

II. Tận dụng nguồn sống của môi trường.

III. Thu được nhiều loại nông phẩm trong 1 khu vườn

IV. Rút ngắn thời gian sinh trưởng của tất cả các loài cây

Câu 20: Hãy cho biết những nhận định nào đúng, nhận định nào sai khi nói về diễn thế sinh thái?

I. Song song với quá trình biến đổi của quần xã là quá trình biến đổi của các điều kiện tự nhiên của môi trường.

II. Giai đoạn cuối cùng trong diễn thế nguyên sinh là hình thành quần xã đa dạng phong phú nhất.

III. Cho dù điều kiện thuận lợi, diễn thế thứ sinh cũng không hình thành nên quần xã tương đối ổn định.

IV. Mối quan hệ cạnh tranh gay gắt giữa các loài trong quần xã là nhân tố sinh thái quan trọng làm biến đổi quần xã sinh vật.

Câu 21.: Trong 3 hồ cá tự nhiên, xét 3 quần thể của cùng một loài, số lượng cá thể của mỗi nhóm tuổi ở mỗi quần thể như sau:

Quần thể Tuổi trước sinh sản Tuổi sinh sản Tuổi sau sinh sản
Số 1 150 149 120
Số 2 250 70 20
Số 3 50 120 155

Hãy cho biết trong các nhận định dưới đây nhận định nào đúng, nhận định nào sai khi nói về các quần thể trên?

I. Quần thể số 2 có kích thước đang tăng lên.

II. Quần thể số 1 có kích thước bé nhất.

III. Quần thể số 3 được khai thác ở mức độ phù hợp.

IV. Quần thể số 3 đang có sự tăng trưởng số lượng cá thể.

Câu 22.

Khi quan sát về khả năng lọc nước của một loài thân mềm (sphaerium corneum), người ta có bảng số liệu sau:

Số lượng (con) 1 5 10 15 20
Tốc độ lọc (ml/giờ) 3,4 6,9 7,5 5,2 3,8

Hãy cho biết trong các nhận định dưới đây nhận định nào đúng, nhận định nào sai khi nói về đặc điểm của loài sinh vật trên?

I. Đây là ví dụ về hỗ trợ cùng loài

II. Tốc độ lọc tốt nhất là 7,5 ml/giờ (10 con).

III. Số lượng cá thể càng nhiều thì tốc độ lọc càng nhanh.

IV. Ví dụ trên phản ánh hiệu quả nhóm.

PHẦN III. ĐIỀN ĐÁP ÁN

Câu 1: Cho sơ đồ minh hoạ về sự truyền năng lượng qua các bậc dinh dưỡng như sau: Mặt Trời → Sinh vật a → Sinh vật b → Sinh vật c → Sinh vật d. Hãy cho biết sinh vật c có bậc dinh dưỡng cấp mấy?

Câu 2: Giả sử năng lượng đồng hóa của các sinh vật dị dưỡng trong 1 chuỗi thức ăn như sau:

Sinh vật tiêu thụ bậc 1: 1 500 000 kcal; Sinh vật tiêu thụ bậc 2: 180 000 kcal;

Sinh vật tiêu thụ bậc 3: 18 000 kcal; Sinh vật tiêu thụ bậc 4: 1 620 kcal

Hiệu suất sinh thái giữa bậc dinh dưỡng cấp 3 với bậc dinh dưỡng cấp 2 trong chuỗi thức ăn trên là bao nhiêu %?

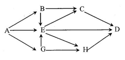
Câu 3: Cho sơ đồ lưới thức ăn sau.

Hỏi có bao nhiêu chuỗi thức ăn trong hệ sinh thái?

Câu 4: Một quần thể động vật có số lượng cá thể là 750 con. Dự đoán sau 1 năm số lượng cá thể của quần thể là bao nhiêu con, biết mức sinh sản là 1,23, tử vong là 0,65, nhập cư là 0,3; xuất cư là: 0,5.

Câu 5: Có bao nhiêu phát biểu sau đây đúng về ổ sinh thái của các loài?

I. Ổ sinh thái của một loài biểu hiện cách sinh sống còn nơi ở chỉ nơi cư trú.

II. Chim ăn sâu và chim ăn hạt sống trên cùng một cây thì có cùng nơi ở nhưng ổ sinh thái khác nhau.

III. Cạnh tranh là một trong những nguyên nhân chủ yếu dẫn đến sự hình thành các ổ sinh thái.

IV. Nhờ có sự phân hoá ổ sinh thái nên giảm bớt sự cạnh tranh về thức ăn và nơi ở.

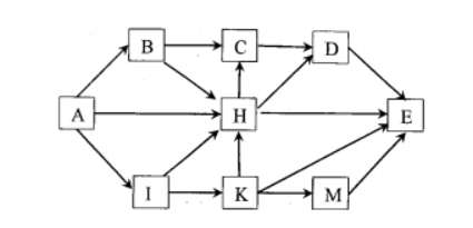
Câu 6: Cho lưới thức ăn như hình dưới đây, hãy cho biết khi loài K bị tuyệt diệt thì trong lưới thức ăn sẽ tồn tại tối đa bao nhiêu loài?

Đáp án
Cô Nguyễn Ngọc Châu

Cô Nguyễn Ngọc Châu

(Người kiểm duyệt, ra đề)

Chức vụ: Trưởng ban biên soạn môn Sinh Học THPT

Trình độ: Cử nhân Sư phạm Sinh học, Chứng chỉ hạng II, Chứng chỉ AT sinh học, Ngoại ngữ B1

Kinh nghiệm: 9+ năm kinh nghiệm tại Trường THPT Trần Phú