Chọn đến phần học sinh cần nhanh chóng thông qua mục lục bằng cách click đến phần đó
PHẦN I. Câu trắc nghiệm nhiều phương án lựa chọn.
Thí sinh trả lời từ câu 1 đến câu 18. Mỗi câu hỏi thí sinh chỉ chọn một phương án. ( 4,5 điểm).
Câu 1. Số đồng phân amine đơn chức bậc một chứa vòng benzene có công thức phân tử $C_7H_9N$ là
A. 6
B. 5
C. 3
D. 4
Câu 2. Cho các chất sau: ethanol, phenol, aniline, phenylammonium chloride, potassium acetate. Số chất phản ứng được với dung dịch NaOH loãng là
A. 3
B. 4
C. 2
D. 1
Câu 3. Chất X là một loại thuốc cảm có công thức phân tử $C_8H_9O_4$. Cho 1 mol X phản ứng hết với dung dịch NaOH thu được 1 mol chất Y, 1 mol chất Z và 2 mol $H_2O$. Nung Y với hỗn hợp $CaO/NaOH$ thu được parafin (alkane) đơn giản nhất. Chất Z phản ứng với dung dịch $H_2SO_4$ loãng dư, thu được hợp chất hữu cơ T không có khả năng tráng gương. Có các phát biểu sau:
(a) Chất X phản ứng với NaOH (t°) theo tỉ lệ mol 1: 2.
(b) Chất Y có tính acid mạnh hơn $H_2CO_3$.
(c) Chất Z có công thức phân tử $C_7H_6O_3Na$.
(d) Chất T không tác dụng với $CH_3COOH$ nhưng có phản ứng với $CH_3OH$ ($H_2SO_4$ đặc, t°).
Số phát biểu đúng là
A. 3
B. 4
C. 1
D. 2
Câu 4. Cho m gam glucose phản ứng hoàn toàn với lượng dư dung dịch $AgNO_3$ trong $NH_3$ (đun nóng), thu được 21,6 gam Ag. Giá trị của m là
A. 72,0
B. 18,0
C. 36,0
D. 16,2
**Câu 5.** Cho các chất sau: $C_{15}H_{31}COONa$; $C_{15}H_{31}COOK$; $CH_3CH_2OSO_3Na$; $CH_3[CH_2]_{13}OSO_3Na$; $CH_3[CH_2]_{11}C_6H_4SO_3Na$; $C_{17}H_{33}COOK$. Số chất là thành phần chính của chất giặt rửa tổng hợp ?
A. 5
B. 2
C. 3
D. 4
Câu 6. Xét phân tử xà phòng có cấu tạo như dưới đây:

Nhóm được khoanh tròn trong công thức trên là
A. nhóm ưa nước
B. nhóm kị nước
C. nhóm ái thể
D. nhóm đồng thể
Câu 7. Chất béo có nhiều nhất ở đâu trong các mẫu dưới đây?
A. Dầu chuối
B. Quả nho
C. Chanh
D. Mỡ động vật
Câu 8. Ester nào sau đây có phản ứng với dung dịch $Br_2$?
A. Methyl acrylate
B. Methyl acetate
C. Methyl propanate
D. Ethyl acetate
Câu 9. Cho phương trình hóa học sau: X + $HNO_2$ →$C_2H_5OH$ + $N_2$ + $H_2O$
Chất X có tên thay thế là
A. ethylamine
B. methanamine
C. propanamine
D. ethanamine
Câu 10. Tên gọi của $CH_3COOCH_2CH_3$ là
A. propyl acetate
B. methyl acetate
C. methyl propionate
D. ethyl acetate
Mã đề 121 Trang 1/4
Câu 11. Chất nào sau đây thuộc loại amine bậc ba?
A. $(CH_3)_3 N$
B. $C_2H_5–NH_2$
C. $CH_3–NH_2$
D. $CH_3–NH–CH_3$
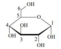
Câu 12. Cho công thức cấu tạo dạng mạch vòng α – glucose như sau:

Nhóm –OH hemiacetal là –OH gắn ở carbon số mấy?
A. 2
B. 4
C. 3
D. 1
Câu 13. Chất nào sau đây là đồng phân của glucose?
A. Fructose
B. Tinh bột
C. Cellulose
D. Saccharose
Câu 14. Thủy phân hoàn toàn một lượng tristearin trong dung dịch NaOH (vừa đủ), thu được 1 mol glycerol và
A. 3 mol stearic acid
B. 1 mol stearic acid
C. 1 mol sodium stearate
D. 3 mol sodium stearate
Câu 15. Thủy phân ester X $(C_4H_8O_2)$ trong dung dịch $H_2SO_4$ loãng, đun nóng, thu được sản phẩm gồm propanoic acid và chất hữu cơ Y. Công thức của Y là
A. $CH_3OH$
B. $CH_3COOH$
C. HCOOH
D. $C_2H_5OH$
Câu 16. Hợp chất nào dưới đây được sử dụng làm xà phòng?
A. $CH_3(CH_2)_{14}COONa$
B. $CH_3(CH_2)_{14}COOCH_3$
C. $CH_3COONa$
D. $CH_3(CH_2)_2O(CH_2)_5CH_3$
Câu 17. Thủy phân hoàn toàn triglyceride X trong dung dịch NaOH thu được $C_{15}H_{31}COONa$ và $C_{23}H_{45}COONa$. Công thức của X là
A. $(C_{17}H_{31}COO)_3C_3H_5$
B. $(C_{17}H_{35}COO)_3C_3H_5$
C. $(C_{15}H_{31}COO)_3C_3H_5$
D. $(C_{15}H_{31}COO)_3C_3H_5$
Câu 18. Công thức cấu tạo thu gọn của methyl acetate là
A. $HCOOCH_3$
B. $CH_3COOC_2H_5$
C. $CH_3COOC_2H_5$
D. $CH_3COOCH_3$
PHẦN II. Câu trắc nghiệm đúng sai.
Thí sinh trả lời từ câu 1 đến câu 4. Trong mỗi ý a), b), c), d) ở mỗi câu, thí sinh chọn đúng hoặc sai. (4 điểm).
Câu 1. Cho hai disaccharide có công thức cấu tạo dưới đây:

a) Phần trăm khối lượng của nguyên tố carbon trong cả hai chất trên đều là 51,46%.
b) Hình (2) mô tả phân tử maltose được cấu tạo từ một đơn vị α-glucose và một đơn vị β-glucose.
c) Hình (1) mô tả phân tử saccharose.
d) Công thức phân tử của disaccharide trong hình (1) và (2) đều là $C_{12}H_{22}O_{11}$.
Câu 2. Xà phòng và chất giặt rửa tổng hợp đều có khả năng làm sạch bụi bẩn, dầu mỡ bám trên các bề mặt tuy nhiên chúng có những ưu nhược điểm riêng nên chúng ta cần phải biết cách sử dụng cho phù hợp.
a) Ưu điểm của xà phòng và chất giặt rửa tổng hợp so với xà phòng là một số chất giặt rửa tổng hợp có thể bị phân hủy sinh học, do đó không gây ô nhiễm môi trường.
b) Nên dùng xà phòng khi giặt quần áo trong nước cứng (nước có chứa nhiều ion $Ca^{2+}$, $Mg^{2+}$).
c) Dầu gội tạo thành từ sodium cetearyl sulfate có thể dùng với nước có chứa nhiều $Mg^{2+}$.
d) Nhược điểm của chất giặt rửa tổng hợp so với xà phòng là một số chất giặt rửa tổng hợp khó bị phân hủy sinh học, do đó gây ô nhiễm môi trường.
Câu 3. Geranyl acetate là hợp chất chính tạo mùi thơm của hoa hồng (rose). Cho công thức khung phân tử của geranyl acetate như hình bên:

Những phát biểu sau về geranyl acetate
a) Thủy phân hoàn toàn geranyl acetate trong dung dịch NaOH thu được muối và alcohol.
b) Geranyl acetate có công thức phân tử là $C_{12}H_{20}O_2$.
c) Geranyl acetate có thể cộng hợp với $Br_2$ theo tỉ lệ mol 1 : 3.
d) Geranyl acetate là một ester.
Câu 4. Những nhận định sau về chất béo
a) Chất béo tan nhiều trong nước nóng như xăng, benzene, dimethyl ether.
b) Chất béo là triester của glycerol với các acid béo, nhẹ hơn nước và không tan trong nước.
c) $(C_{17}H_{33}COO)_3C_3H_5$ có nhiệt độ nóng chảy cao hơn $(C_{15}H_{31}COO)_3C_3H_5$.
d) Thủy phân chất béo trong môi trường kiềm, thu được muối dùng sản xuất xà phòng.
PHẦN III. Câu trắc nghiệm trả lời ngắn.
Thí sinh trả lời từ câu 1 đến câu 6. (1,5điểm)
Câu 1. Cho các chất và dung dịch sau: NaOH loãng; Na, nước $Br_2$; $H_2SO_4$ loãng, $O_2$, $Cu(OH)_2$. Ở điều kiện thích hợp số chất tác dụng được với tripalmitin là bao nhiêu?
Câu 2. Terephthalic acid là một đồng phân của phthalic acid được sử dụng để sản xuất nhựa PET. Đây là một loại polimer được ứng dụng rộng rãi làm chai nhựa, hộp đựng, tơ sợi,… PET có tên gọi là poli(ethylene terephthalate) được tổng hợp từ phản ứng ester hóa terephthalic acid và ethylene glycol theo sơ đồ phản ứng sau:

Người ta dùng 100 kg terephthalic acid để sản xuất PET theo quy trình trên, biết hiệu suất tính theo terephthalic acid là 83%, toàn bộ lượng PET sinh ra được dùng để sản xuất chai nhựa dung nước uống TH loại 500 mL. Biết mỗi chai loại này chứa 12 gam nhựa PET. Tính số lượng chai nhựa sản xuất được từ lượng PET thu được ở trên?
Câu 3. Xà phòng hóa 8,8 gam $CH_3COOC_2H_5$ bằng dung dịch NaOH 0,2M vừa đủ. Sau khi phản ứng xảy ra hoàn toàn, cô cạn dung dịch thu được chất rắn khan có khối lượng là bao nhiêu?
Câu 4. Một phân tử amylose có phân tử khối 324000 có x nghìn gốc α-glucose. Giá trị của x là?
Câu 5. Trong cây thuốc lá tự nhiên và khói thuốc lá chứa một amine rất độc, đó là nicotin với công thức cấu tạo như sau:

Nicotin làm tăng huyết áp và nhịp tim, có khả năng gây sơ vữa động mạch vành và suy giảm trí nhớ. Số nguyên tử carbon trong một phân tử nicotin là bao nhiêu?
Câu 6. Cho các phát biểu sau về cacbohidrat:
(1) Glucose và saccharose đều là chất rắn có vị ngọt, dễ tan trong nước.
(2) Tinh bột và cellulose đều là polysaccharide.
(3) Trong dung dịch, glucose và saccharose đều hòa tan $Cu(OH)_2$ tạo phức màu xanh lam.
(4) Khi thủy phân hoàn toàn hỗn hợp gồm tinh bột và saccharose trong môi trường acid chỉ thu được một loại monosaccharide duy nhất.
(5) Khi đun nóng glucose với dung dịch $AgNO_3/NH_3$ thu được Ag.
Số phát biểu đúng là?

ThS. Lê Thị Mai Nhi
(Người kiểm duyệt, ra đề)
Chức vụ: Trưởng ban biên soạn môn Hoá Học THPT
Trình độ: Thạc sĩ Hóa học, Chứng chỉ hạng II, Chứng chỉ STEM, Ngoại ngữ B1
Kinh nghiệm: 10+ năm kinh nghiệm tại Trường THPT Chuyên Nguyễn Huệ
