Chọn đến phần học sinh cần nhanh chóng thông qua mục lục bằng cách click đến phần đó
Phần I. Câu hỏi trắc nghiệm nhiều phương án lựa chọn
Thí sinh trả lời từ câu 1 đến câu 12. Mỗi câu hỏi, thí sinh chỉ chọn 1 phương án.
Câu 1:
Cho hàm số $y = f(x)$ có bảng biến thiên như sau:

Hàm số đã cho đồng biến trên khoảng nào dưới đây?
A. $(-1; 0)$
B. $(1; +\infty)$
C. $(-\infty; 1)$
D. $(0; 1)$
Câu 2:
Cho hàm số $y = f(x)$ có đồ thị như hình bên dưới.

Hàm số $y = f(x)$ có bao nhiêu điểm cực trị?
A. 1
B. 3
C. 0
D. 2
Câu 3:
Cho hàm số $y = x^3 – 3x^2 + 2$. Gía sự giá trị lớn nhất và giá trị nhỏ nhất của hàm số trên đoạn $[-1; 3]$ lần lượt là $M, m$ thì $M – m$ bằng
A. 1
B. 4
C. 2
D. 3
Câu 4:
Cho hàm số $y = f(x)$ có đồ thị như hình vẽ. Gọi $m$ và $M$ lần lượt là giá trị nhỏ nhất và giá trị lớn nhất của hàm số $y = f(x)$ trên đoạn $[0; 2]$.
Khẳng định nào sau đây là đúng?

A. $m + M = -2$
B. $m + M = 2$
C. $m + M = 4$
D. $m + M = 0$
Câu 5:
Các đường tiệm cận đứng và ngang của đồ thị hàm số $y = \frac{2x + 1}{x – 1}$ là:
A. $x = 2; y = 1$
B. $x = -1; y = -2$
C. $x = 1; y = -2$
D. $x = 1; y = 2$
Câu 6:
Cho hàm số $y = \frac{x^2 – 2x + 2}{x – 1}$. Đồ thị hàm số có một tiệm cận xiên $y = ax + b$. Giá trị của $a + 3b$ bằng
A. 5
B. 3
C. -2
D. -1
Câu 7:
Đồ thị hàm số $y = \frac{3x + 1}{x – 1}$ có tâm đối xứng là
A. $I(-1; 3)$
B. $I(-1; 1)$
C. $I(3; 1)$
D. $I(1; 3)$
Câu 8:
Đồ thị hàm số $y = x^3 + 3x^2 – 4$ là hình nào trong 4 hình dưới đây?

A. Hình 1
B. Hình 2
C. Hình 3
D. Hình 4
Câu 9:
Hàm số nào sau đây có đồ thị như hình vẽ bên dưới?

A. $y = \frac{x^2 – 3x – 1}{x – 2}$
B. $y = \frac{2x – 3}{x – 2}$
C. $y = 2x^3 + x^2 + 1$
D. $y = \frac{2x – 1}{x – 2}$
Câu 10:
Cho hình hộp chữ nhật $ABCD.A’B’C’D’$. Khi đó, vectơ bằng vectơ $\overrightarrow{AB}$ là vectơ nào dưới đây?
A. $\overrightarrow{D’C’}$
B. $\overrightarrow{BA}$
C. $\overrightarrow{CD}$
D. $\overrightarrow{B’A’}$
Câu 11:
Cho hình hộp $ABCD.A’B’C’D’$. Chọn đẳng thức vectơ đúng:
A. $\overrightarrow{AC’} = \overrightarrow{AB} + \overrightarrow{AB’} + \overrightarrow{AD}$
B. $\overrightarrow{DB’} = \overrightarrow{DA} + \overrightarrow{DD’} + \overrightarrow{DC}$
C. $\overrightarrow{AC’} = \overrightarrow{AC} + \overrightarrow{AB} + \overrightarrow{AD}$
D. $\overrightarrow{DB} = \overrightarrow{DA} + \overrightarrow{DD’} + \overrightarrow{DC}$
Câu 12:
Cho hình lăng phương $ABCD.A’B’C’D’$ có cạnh bằng $a$. Gọi $O, O’$ lần lượt là tâm của hình vuông $ABCD$ và $A’B’C’D’$. Độ dài vec tơ $\overrightarrow{OA’} + \overrightarrow{OB’} + \overrightarrow{OC’} + \overrightarrow{OD’}$ bằng.
A. $4a$
B. $6a$
C. $2a$
D. $a$
Phần 2. Trắc nghiệm lựa chọn đúng sai
Thí sinh trả lời từ câu 13 đến câu 16. Trong mỗi ý a) b) c) d) ở mỗi câu, thí sinh chọn đúng hoặc sai.
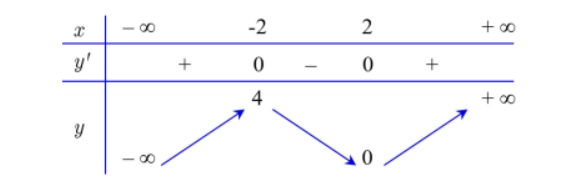
Câu 13:
Cho hàm số $y = f(x)$ có bảng biến thiên như hình dưới đây. Các khẳng định sau đúng hay sai?

a) Hàm số nghịch biến trên khoảng $(-2; 2)$
b) $f(2) < f(4) < f(5)$
c) Hàm số $y = f(x + 1)$ đồng biến trên từng khoảng $(-\infty; -1)$ và $(1; +\infty)$
d) Tồn tại đúng $\frac{5}{2}$ giá trị của $x$ để $f'(x) + f(f(x)) = 0$ đồng biến.
Câu 14:
Cho hàm số $y = f(x)$ là hàm đa thức bậc 3, có đồ thị của hàm $y = f'(x)$ như đoạn dây. Các khẳng định nào sau đây là sai?

a) Hàm số có 2 điểm cực trị.
b) $\max f(x) = f(0)$
c) Biết $f(0) = f(-2) = f(3) = f(4)$ khi đó $\frac{f(0)}{f(4)}$
d) Hàm số $y = f(x + 1)$ có 2 điểm cực tiểu.
Câu 15:
Cho hàm số $y = \frac{x^2 + x + 2}{1 – x}$
a) Đồ thị của hàm số có đường tiệm cận đứng là $x = 1$.
b) Đồ thị của hàm số có đường tiệm cận đứng là $y = -x$.
c) Đồ thị hàm số $y = \frac{x^2 + x + 2}{1 – x}$ có tâm đối xứng là $(1; -2)$.
d) Hàm số $y = \frac{x^2 + x + 2}{1 – x}$ có đồ thị hàm số là đường cong sau đây:

Câu 16:
Cho hình hộp chữ nhật $ABCD.A’B’C’D’$ với $AB = a$, $AD = b$, $AA’ = c$.
Gọi $M$ là trung điểm của $BC$ và $O$ là trung tâm tam giác $ACD$.

Xét tính đúng, sai của các khẳng định sau:
a) Có 8 vectơ có điểm đầu và điểm cuối là các đỉnh của hình hộp chữ nhật bằng $\overrightarrow{AB}$.
b) $\overrightarrow{AC} = \overrightarrow{AB} + \overrightarrow{AA’} + \overrightarrow{AD}$
c) $\overrightarrow{AO} = \frac{1}{3}(\overrightarrow{AC} + \overrightarrow{AD})$
d) $\overrightarrow{AM} \cdot \overrightarrow{AO} = \frac{1}{6}(a^2 + b^2 + c^2)$
Phần 3. Câu hỏi trắc nghiệm trả lời ngắn
Thí sinh trả lời từ câu 17 đến câu 22
Câu 17:
Gọi $M, m$ lần lượt là giá trị lớn nhất và giá trị nhỏ nhất của hàm số $y = x + \sqrt{2 – x^2}$. Tính $M – \sqrt{2}m$.
Câu 18:
Cho hàm số $f(x)$ có đạo hàm trên $\mathbb{R}$ và có bảng xét dấu như sau:
Hàm số $y = f(x^2 – 2x)$ đạt cực đại tại $x_1$ và đạt cực tiểu tại $x_2$. Tính $2x_2 – x_1$ biết $x_1 < x_2$.
Câu 19:
Cho hàm số $y = f(x)$ liên tục trên đoạn $[-2; 2]$ và có đồ thị là đường cong như trong hình vẽ bên.

Tính tổng các giá trị cực đại của hàm số $y = |f(x) – 1|$ trên đoạn $[-2; 2]$?
Câu 20:
Ông Hùng muốn thiết kế một chiếc bể cá không có nắp đậy hình hộp chữ nhật có chiều cao $50 cm$, thể tích là $90000 cm^3$. Người thợ dùng loại kính để sử dụng làm mặt bên có giá thành là $60000$ đồng/$m^2$ và loại kính để làm mặt đáy có giá thành là $90000$ đồng/$m^2$. Chi phí thấp nhất để làm bể cá là bao nhiêu nghìn đồng? (kết quả làm tròn đến hàng đơn vị).
Câu 21:
Có bao nhiêu giá trị nguyên của tham số $m$ để hàm số $y = \sqrt{mx^2 – 2(m^2 – 5m)x – m + 4}$ đồng biến trên khoảng $(0; +\infty)$?
Câu 22:
Để nâng một chiếc bàn hình vuông lên sóng sóng với mặt đất, người ta dùng 4 sợi dây cáp không dãn xuất phát từ điểm $S$ trên thành cầu và lần lượt buộc vào bốn điểm $A, B, C, D$ ở bốn góc của bàn sao cho các lực căng $\vec{F_1}, \vec{F_2}, \vec{F_3}, \vec{F_4}$ lần lượt trên mỗi dây $SA, SB, SC, SD$ đều có độ lớn bằng $90(N)$. Biết các đường thẳng $SA, SB, SC, SD$ cùng tạo với mặt phẳng ngang một góc bằng $60°$. Tính trọng lượng của chiếc bàn đó (làm tròn đến hàng đơn vị).

ThS. Lê Thị Thuý Nga
(Người kiểm duyệt, ra đề)
Chức vụ: Trưởng ban biên soạn môn Toán THPT
Trình độ: Thạc sĩ Lý luận dạy học Toán, Chứng chỉ hạng II, Chứng chỉ Tin học, Ngoại ngữ B1
Kinh nghiệm: 11+ năm kinh nghiệm tại Trường THPT Lương Thế Vinh
