Đề Thi Giữa học kì 2 Sinh Học 12 Mã ESGK212-01 (2026-2027)

Mục lục [Ẩn]

Chọn đến phần học sinh cần nhanh chóng thông qua mục lục bằng cách click đến phần đó

PHẦN I. Thí sinh trả lời từ câu 1 đến câu 18.

Mỗi câu hỏi thí sinh chỉ chọn một phương án.

Câu 1: Chúng vị khuẩn E. coli bị đột biến mất chức năng ở vùng nào sau đây ở operon Lac sẽ không sản xuất enzyme dù môi trường có hay không có lactose?

A. Vùng trình tự P (promoter).

B. Vùng trình tự O (operator).

C. Vùng gene cấu trúc lacZ.

D. Vùng gene cấu trúc lacY.

Câu 2: Ý nghĩa của cơ chế tái bản DNA là

A. giúp tổng hợp các phân tử RNA mang bộ mã di truyền quy định các amino acid.

B. giúp tổng hợp các phân tử protein có chức năng quy định các tính trạng của cơ thể.

C. giúp thông tin di truyền được truyền đạt qua các thế hệ tế bào và các thế hệ cơ thể.

D. giúp tổng hợp các phân tử ribosome tham gia vào dịch mã tổng hợp chuỗi polypeptide.

Câu 3: Hình ảnh dưới đây mô tả quá trình thay đổi trình tự nucleotide tại một điểm trên một đoạn gene. Đây là dạng đột biến nào?

A. Thêm một cặp G – C.

B. Thay thế một cặp G – C thành một cặp A – T.

C. Mất một cặp A – T.

D. Thay thế một cặp A – T thành một cặp G – C.

Câu 4: Cấu trúc có đường kính 700nm được mô tả trong hình là

A. protein histon.

B. nucleosome.

C. sợi nhiễm sắc.

D. chromatid.

Dùng thông tin sau để trả lời câu 5 và câu 6: Hình ảnh dưới đây mô tả cấu trúc các đoạn của một NST ở trạng thái bình thường và sau khi bị đột biến.

Câu 5: Khi nói về dạng đột biến trên, phát biểu nào sau đây sai?

A. Làm gia tăng số lượng gene trên NST.

B. Làm thay đổi hình thái NST so với dạng bình thường.

C. Gây mất cân bằng hệ gene, có thể gây hại cho thể đột biến.

D. Được ứng dụng để loại bỏ gene không mong muốn ra khỏi NST.

Câu 6: Đây là dạng đột biến nào?

A. Mất đoạn.

B. Đảo đoạn.

C. Chuyển đoạn.

D. Lặp đoạn.

Câu 7: Ở người, tính trạng mắt đen là trội hoàn toàn so với tính trạng mắt xanh. Một gia đình có bố mẹ mắt đen sinh được một người con gái mắt xanh và một người con gái mắt đen. Sơ đồ nào sau đây phản ánh đúng sự di truyền tính trạng màu mắt ở gia đình này?

Câu 8: Khi nói về đặc điểm cấu trúc và chức năng của các loại RNA, phát biểu nào sau đây đúng?

A. phân tử mRNA có cấu trúc mạch đơn, phân tử tRNA và rRNA có cấu trúc mạch đơn.

B. Đơn phân cấu tạo nên mRNA gồm 4 loại, đơn phân cấu tạo nên tRNA gồm 3 loại.

C. Chức năng của tRNA là tổng hợp nên DNA, của rRNA là thành phần cấu tạo nên protein.

D. mRNA là khuôn tổng hợp protein, tRNA vận chuyển amino acid tới ribosome.

Câu 9: Ở một loài ốc, màu vỏ ốc do 2 gene A và B quy định như sơ đồ dưới đây. Bạn An bắt gặp một vỏ ốc màu nâu thuộc loài này, kiểu gene của nó có thể là

A. AaBB.

B. AAbb.

C. aaBb.

D. aabb.

Câu 10: Để tổng hợp insulin bằng công nghệ gene, người ta gắn gene quy định tổng hợp insulin của người vào plasmid của vi khuẩn tạo DNA tái tổ hợp như hình mô tả. Sau đó cho DNA tái tổ hợp xâm nhập vào vi khuẩn E. coli và nhờ sự nhân lên của vi khuẩn E. coli để tạo ra số lượng lớn sản phẩm.

Kết luận nào sau đây đúng về quá trình trên?

A. Phân tử DNA tái tổ hợp cắt xen vào hệ gene vùng nhân của vi khuẩn E. coli.

B. Phân tử DNA tái tổ hợp nhân đôi độc lập với DNA vùng nhân của vi khuẩn E. coli.

C. Sau khi DNA tái tổ hợp xâm nhập vào tế bào vi khuẩn thì gene tổng hợp insulin bị bất hoạt.

D. Sau khi DNA tái tổ hợp xâm nhập vào tế bào vi khuẩn thì hệ gene của vi khuẩn bị bất hoạt.

Dùng thông tin sau để trả lời câu 11 và câu 12: Hình ảnh dưới đây mô tả trình tự sắp xếp các loại xương ở chi trước của người và một số loài động vật:

Câu 11: Dựa theo bằng chứng giải phẫu học so sánh thì chi trước của người, mèo, dơi, cá voi là

A. các cơ quan tương tự.

B. các cơ quan tương đồng.

C. các cơ quan chức năng.

D. các cơ quan thoái hóa.

Câu 12: Nhận định nào sau đây đúng khi nói về đặc điểm các cơ quan này?

A. Là những cơ quan phát triển không đầy đủ nên chức năng bị tiêu giảm rõ rệt.

B. Các đặc điểm giống nhau có được nhờ môi trường sống, không do kiểu gene quy định.

C. Là các cơ quan có cùng nguồn gốc trong quá trình phát triển phôi.

D. Có hình thái tương tự nhau, đảm nhiệm các chức năng hoàn toàn giống nhau.

Câu 13: Theo lí thuyết, đời con $F_1$ của phép lai nào sau đây có ưu thế lai cao nhất?

A. aaBb × aaBb.

B. AAbb × aaBB.

C. AAbb × aabb.

D. AaBb × AaBb.

Câu 14: Ở một quần thể thực vật, xét một gene có 2 allele là A và a. Ở thế hệ xuất phát (P) có tần số các kiểu gene là 0,8 Aa : 0,2 aa. Theo lí thuyết, tần số allele a của quần thể này là bao nhiêu?

A. 0,4.

B. 0,3.

C. 0,6.

D. 0,7.

Câu 15: Dưới đây là kết quả thống kê của một nghiên cứu về mối liên hệ giữa tỉ lệ trẻ bị hội chứng Down và tuổi của người mẹ:

Tuổi của người mẹ Dưới 30 35 40 45
Tỉ lệ trẻ bị hội chứng Down $\frac{1}{900}$ $\frac{1}{365}$ $\frac{1}{100}$ $\frac{1}{30}$

Khi nói về hội chứng này, phát biểu nào sau đây sai?

A. Hội chứng Down là kết quả kết hợp giữa giao tử thừa một NST số 21 với giao tử bình thường.

B. Những người bị mắc hội chứng Down thường vô sinh và chậm phát triển trí tuệ.

C. Tỉ lệ trẻ bị hội chứng Down có xu hướng tăng theo tuổi của người mẹ.

D. Trẻ em bị hội chứng Down thường được chữa khỏi hoàn toàn bằng liệu pháp gene.

Câu 16: Giống thó Himalaya nuôi ở nhiệt độ môi trường 25°C hoặc thấp hơn có đuôi, tai, đầu các chi và mõm màu đen còn toàn thân có lông màu trắng. Tuy nhiên, khi nuôi ở nhiệt độ môi trường bằng hoặc lớn hơn 30°C thì có lông màu trắng hoàn toàn. Phát biểu nào sau đây đúng khi giải thích hiện tượng này?

A. Nhiệt độ làm bất hoạt mọi enzyme cần thiết để sao chép các gene quy định màu lông.

B. Nhiệt độ làm thay đổi biểu hiện của gene quy định màu sắc lông thỏ.

C. Nhiệt độ ≥ 30°C gây ra đột biến làm tăng hoạt động của gene quy định lông đen.

D. Nhiệt độ ≤ 25°C làm allele quy định lông trắng bị đột biến thành allele quy định lông đen.

Dùng thông tin sau để trả lời câu 17 và câu 18: Ở chuột, xét một gene có 2 allele quy định màu sắc lông. Allele A quy định lông đen trội hoàn toàn so với allele a quy định lông xám (gọi p là tần số allele A, q là tần số allele a). Trong quần thể 400 con chuột đang ở trạng thái cân bằng di truyền, trong đó có 64 con chuột lông xám.

Câu 17: Trạng thái cân bằng di truyền của quần thể chuột được khái quát bằng phương trình

A. $(p + q)^2 = p^2AA + 2pqAa + q^2aa = 1$

B. $(p + q)^2 = pAA + 2pqAa + qaa = 1$

C. $(p + q)^2 = \frac{p^2AA + pq}{2}Aa + q^2aa = 1$

D. $(p + q)^2 = \frac{pAA + pq}{2}Aa + qaa = 1$

Câu 18: Số cá thể của quần thể chuột có kiểu gene dị hợp chiếm tỉ lệ bao nhiêu %?

A. 12%.

B. 48%.

C. 64%.

D. 24%.

PHẦN II. Thí sinh trả lời từ câu 1 đến câu 4.

Trong mỗi ý a), b), c), d) ở mỗi câu, thí sinh chọn đúng hoặc sai.

Câu 1: Một nhà khoa học đã trồng các cây có thị (Achillea millefolium) thuộc hai dòng (các cây cùng dòng có cùng kiểu gene) ở ba vùng có chiều cao so với mặt nước biển khác nhau, điều kiện chăm sóc như nhau. Mức phân ứng của hai dòng có thị được thể hiện ở biểu đồ dưới đây:

a) Nguyên nhân gây ra sự biến đổi chiều cao của các cây ở dòng B ở các độ cao khác nhau là do đột biến gene.

b) Sự biến đổi chiều cao của các cây có cùng một kiểu gene ở dòng A ở các độ cao khác nhau được gọi là thường biến.

c) Nếu xét trong khoảng độ cao từ 30m → 3000m thì dòng B có mức phân ứng rộng gấp đôi dòng A.

d) Mức phân ứng của cả hai dòng có thị (Achillea millefolium) đều do kiểu gene quy định.

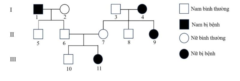
Câu 2: Sơ đồ phả hệ dưới đây mô tả sự di truyền một bệnh ở người do một trong hai allele của một gene quy định qua ba thế hệ trong một gia đình.

a) Có thể xác định chính xác kiểu gene của tất cả mọi người trong phả hệ trên.

b) Giả sử người chồng (10) kết hôn với người vợ không bị bệnh này nhưng lại mang allele gây bệnh.

Xác suất để cặp vợ chồng này sinh ra một đứa con trai, bị bệnh chiếm tỉ lệ $\frac{1}{12}$.

c) Nghiên cứu phả hệ là phương pháp cơ bản và thường được sử dụng trong nghiên cứu di truyền người.

d) Gene gây bệnh trong gia đình trên là gene lặn, nằm trên NST thường.

Câu 3: Carl Correns, nhà di truyền học thực vật tiến hành thí nghiệm trên cây hoa phấn (Mirabilis jalapa). Vì trên một cây của loài hoa này có ba loại cánh có màu sắc là khác nhau nên Correns đã lấy hạt phấn từ hoa trên cánh này thụ phấn cho hoa trên cánh kia theo các tổ hợp khác nhau và thu được kết quả dưới đây:

Thế hệ P (mg/bố) ♂ Lá trắng ♂ Lá xanh ♂ Lá khăm
♀ Lá trắng $F_1$: 100% là trắng $F_1$:100% là trắng $F_1$:100% là trắng
♀ Lá xanh $F_1$:100% là xanh $F_1$:100% là xanh $F_1$:100% là xanh
♀ Lá khăm $F_1$: Lá trắng

Lá xanh

Lá khăm

$F_1$: Lá trắng

Lá xanh

Lá khăm

$F_1$: Lá trắng

Lá xanh

Lá khăm

a) Gene quy định tính trạng màu lá ở cây hoa phấn (Mirabilis jalapa) không nằm trong nhân mà nằm trong tế bào chất.

b) Kết quả của các phép lai cho thấy tính trạng màu lá của cây hoa phấn (Mirabilis jalapa) ở đời con hoàn toàn phụ thuộc vào màu lá của cây bố mà không chịu ảnh hưởng bởi màu lá của cây mẹ.

c) Phép lai giúp Carl Correns phát hiện ra quy luật di truyền tính trạng màu sắc lá ở cây hoa phấn (Mirabilis jalapa) là phép lai thuận nghịch.

d) Cho $F_1$ được tạo ra từ phép lai P: ♂ Lá khảm × ♀ Lá xanh tự thụ phấn để thu được $F_2$. Theo lí thuyết, đời con $F_2$ có tỉ lệ kiểu hình là 100% là khăm.

Câu 4: Ở các quần thể của một loài thực vật giao phấn, xét một gene có hai allele. Allele A quy định hoa đỏ trội không hoàn toàn so với allele a quy định hoa trắng, thể dị hợp về cặp gene này cho màu hoa hồng. Bảng dưới đây mô tả tỉ lệ kiểu hình của 5 quần thể được nghiên cứu ở thế hệ P:

Quần thể Tỉ lệ kiểu hình
Quần thể 1 100% cây hoa hồng.
Quần thể 2 100% cây hoa đỏ.
Quần thể 3 50% cây hoa đỏ: 50% cây hoa trắng.
Quần thể 4 25% cây hoa đỏ: 50% cây hoa hồng: 25% cây hoa trắng
Quần thể 5 49% cây hoa đỏ: 42% cây hoa hồng: 9% cây hoa trắng

a) Theo định luật Hardy – Weinberg, có 3 quần thể ở thế hệ P đang đạt trạng thái cân bằng di truyền.

b) Theo lí thuyết ở thế hệ tiếp theo, số lượng cây hoa màu đỏ của quần thể 3 chiếm tỉ lệ 50%.

c) Theo lí thuyết, tần số allele A của quần thể 1, quần thể 3, quần thể 4 ở thế hệ P đều bằng nhau và bằng 0,5.

d) Giả sự có sự tác động của chọn lọc tự nhiên lên quần thể 2 và quần thế 5 ở các thế hệ tiếp theo thì tần số của gene A ở quần thể 2 sẽ không thay đổi còn tần số của gene A ở quần thể 5 sẽ thay đổi.

PHẦN III. Thí sinh trả lời từ câu 1 đến câu 6.

Thí sinh điền kết quả mỗi câu vào mỗi ô trả lời tương ứng theo hướng dẫn của phiếu trả lời.

Câu 1: Ở cà chua, allele A quy định thân cao, allele a quy định thân thấp; allele B quy định quả đỏ, allele b quy định quả vàng. Hai gene nằm trên hai cặp NST tương đồng khác nhau. Theo lí thuyết, khi tiến hành phép lai P: AaBb × AaBb, tỉ lệ kiểu gene Aabb được dự đoán ở $F_1$ là bao nhiêu %?

Câu 2: Ở một quần thể thực vật tự thụ phấn, xét một gene có 2 allele là A và a. Ở thế hệ xuất phát (P) có tần số các kiểu gene là: 0,2 AA: 0,4 Aa: 0,4 aa. Theo lí thuyết, tần số kiểu gene aa của quần thể này ở $F_1$ là bao nhiêu? (điền số thập phân)

Câu 3: Cho các nhận định dưới đây khi nói về bệnh mù màu ở người:

  1. Bệnh do allele lặn nằm trên NST giới tính X quy định.
  2. Ở nữ giới, gene quy định bệnh này không tồn tại thành từng cặp allele.
  3. Phép lai thuận nghịch về tính trạng này ở người cho kết quả khác nhau.
  4. Nếu người mẹ bị bệnh mù màu thì sinh con trai sẽ bị bệnh này.
  5. Tỉ lệ mắc bệnh mù màu ở nam giới cao hơn nữ giới.

Hãy viết các số tương ứng với những nhận định đúng khi nói về bệnh mù màu ở người (sắp xếp số thứ tự tăng dần từ bé đến lớn).

Câu 4: Cho các giống cây trồng, vật nuôi dưới đây:

  1. Giống lúa gạo vàng có thêm gene tổng hợp nên tiền chất của vitamin A.
  2. Giống bông có gene lấy từ vi khuẩn tạo ra độc tố chống lại sâu hại.
  3. Giống bò Blanc – Blue – Belgium có cơ bắp phát triển, trọng lượng lớn.
  4. Giống gạo ST25 có khả năng chống chịu bệnh, gạo hạt dài, thơm ngon.
  5. Giống lợn siêu lạc Landrace có năng suất cao, khả năng sinh sản tốt.

Hãy viết liên các số tương ứng với giống vật nuôi và cây trồng được tạo ra chủ yếu bằng phương pháp lai giống và chọn lọc (sắp xếp số thứ tự tăng dần từ bé đến lớn).

Câu 5: Ở một loài thú, xét mỗi gene có 2 allele. Allele A quy định lông quăn trội hoàn toàn so với allele a quy định lông thẳng; allele B quy định lông đen trội hoàn toàn so với allele b quy định lông trắng. Phép lai P: ♀ $\frac{AB}{ab}$ × ♂ $\frac{ab}{ab}$ thu được $F_1$ có kiểu hình lông thẳng, trắng là 40%. Theo lí thuyết, tần số hoán vị gene giữa 2 gene là bao nhiêu? (điền số thập phân)

Câu 6: Xét hai loài thực vật thuộc cùng một chi là loài A, loài B. Bộ NST của loài A là 2n = 18, của loài B là 2n = 16. Các cây lai giữa loài A và loài B được đa bội hóa tạo ra loài D. Theo lí thuyết, bộ NST trong tế bào sinh dưỡng của loài D có bao nhiêu NST?

Đáp án
Cô Nguyễn Ngọc Châu

Cô Nguyễn Ngọc Châu

(Người kiểm duyệt, ra đề)

Chức vụ: Trưởng ban biên soạn môn Sinh Học THPT

Trình độ: Cử nhân Sư phạm Sinh học, Chứng chỉ hạng II, Chứng chỉ AT sinh học, Ngoại ngữ B1

Kinh nghiệm: 9+ năm kinh nghiệm tại Trường THPT Trần Phú