Chọn đến phần học sinh cần nhanh chóng thông qua mục lục bằng cách click đến phần đó
Phần I. Câu trắc trắc nghiệm nhiều lựa chọn.
Học sinh trả lời từ câu 1 đến câu 12 mỗi câu hỏi học sinh chỉ chọn một phương án
Câu 1: (TĐ 1.1) Cho hàm số $F(x)$ là một nguyên hàm của hàm số $f(x)$ trên $K$. Các mệnh đề sau, mệnh đề nào sai.
A. $\int f(x)dx = F(x) + C$
B. $\left(\int f(x)dx\right)’ = f(x)$
C. $\left(\int f(x)dx\right)’ = f'(x)$
D. $\left(\int f(x)dx\right)’ = F'(x)$
Câu 2: (TĐ 1.2) Nguyên hàm của hàm số $f(x) = x^4 + x^2$ là
A. $\frac{1}{5}x^5 + \frac{1}{3}x^3 + C$
B. $x^4 + x^2 + C$
C. $x^5 + x^3 + C$
D. $4x^3 + 2x + C$
Câu 3: (TĐ 1.2) Tìm nguyên hàm của hàm số $f(x) = 2\sin x + 3x$.
A. $\int (2\sin x + 3x)dx = -2\cos x + \frac{3}{2}x^2 + C$
B. $\int (2\sin x + 3x)dx = 2\cos x + 3x^2 + C$
C. $\int (2\sin x + 3x)dx = \sin^2 x + \frac{3}{2}x + C$
D. $\int (2\sin x + 3x)dx = \sin 2x + \frac{3}{2}x^2 + C$
Câu 4. (TĐ 1.1) Tính tích phân $I = \int_0^2 (2x + 1)dx$
A. $I = 5$
B. $I = 6$
C. $I = 2$
D. $I = 4$
Câu 5 (TĐ 1.2) Biết $\int_0^2 f(x)dx = -2$ và $\int_2^4 f(x)dx = -4$. Tính $\int_0^4 f(x)dx$
A. -2
B. 2
C. 6
D. -6
Câu 6 (TĐ 1.2) Cho $\int_a^b f(x)dx = 5$, $\int_a^b g(x)dx = -4$. Tính $\int_a^b [f(x) + 2g(x)]dx$.
A. 9
B. 13
C. -3
D. -1
Câu 7 (TĐ 1.1) Cho hàm số $y = f(x)$ liên tục trên đoạn $[a; b]$. Gọi $D$ là hình phẳng giới hạn với đồ thị hàm số $y = f(x)$, trục hoành và hai đường thẳng $x = a$, $x = b$ $(a < b)$. Tính thể tích khối tròn xoay được tao thành khi quay $D$ quanh trục hoành là
A. $V = \pi \int_a^b [f(x)]^2 dx$
B. $V = 2\pi \int_a^b [f(x)]^2 dx$
C. $V = \pi^2 \int_a^b [f(x)]^2 dx$
D. $V = \pi^2 \int_a^b f(x)dx$
Câu 8 (TĐ 1.2) Gọi $S$ là diện tích của hình phẳng giới hạn bởi các đường $y = 3^x$, $y = 0$, $x = 0$, $x = 2$. Mệnh đề nào dưới đây đúng?
A. $S = \int_0^2 3^x dx$
B. $S = \pi \int_0^2 3^{2x} dx$
C. $S = \pi \int_0^2 3^x dx$
D. $S = \int_0^2 3^{2x} dx$
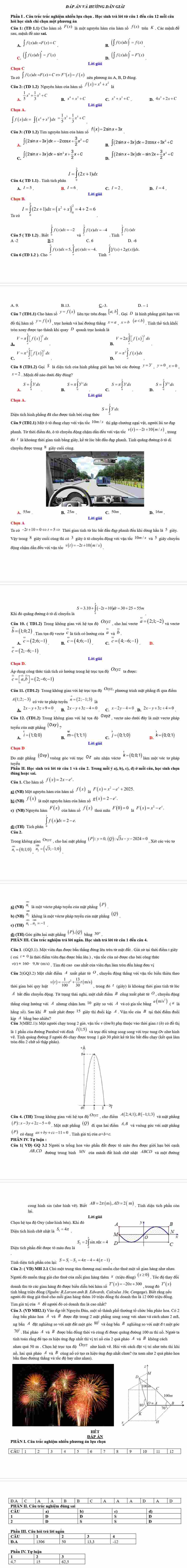
Câu 9 (TĐ 2.1) Một ô tô đang chạy với vận tốc $10 m/s$ thì gặp chướng ngại vật, người lái xe đạp phanh. Từ thời điểm đó, ô tô chuyển động chậm dần đều với vận tốc $v(t) = -2t + 10 (m/s)$, trong đó $t$ là khoảng thời gian tính bằng giây, kể từ lúc bắt đầu đạp phanh. Tính quãng đường ô tô đi chuyển được trong 8 giây cuối cùng.

A. 55m
B. 25m
C. 50m
D. 16m
Câu 10. (TĐ 1.2) Trong không gian với hệ tọa độ $Oxyz$, cho hai vector $\overrightarrow{a} = (2; 1; -2)$ và vector $\overrightarrow{b} = (1; 0; 2)$. Tìm tọa độ vector $\overrightarrow{c}$ là tích có hướng của $\overrightarrow{a}$ và $\overrightarrow{b}$.
A. $\overrightarrow{c} = (2; 6; -1)$
B. $\overrightarrow{c} = (4; 6; -1)$
C. $\overrightarrow{c} = (4; -6; -1)$
D. $\overrightarrow{c} = (2; -6; -1)$
Câu 11. (TĐ 1.2) Trong không gian với hệ trục tọa độ $Oxyz$, phương trình mặt phẳng đi qua điểm $A(1; 2; -3)$ có véc tơ pháp tuyến $\overrightarrow{n} = (2; -1; 3)$ là
A. $2x – y + 3z + 9 = 0$
B. $2x – y + 3z – 4 = 0$
C. $x – 2y – 4 = 0$
D. $2x – y + 3z + 4 = 0$
Câu 12. (TĐ 1.2) Trong không gian với hệ tọa độ $Oxyz$, vector nào dưới đây là một vector pháp tuyến của mặt phẳng $(Oxy)$?
A. $\overrightarrow{i} = (1; 0; 0)$
B. $\overrightarrow{m} = (1; 1; 1)$
C. $\overrightarrow{j} = (0; 1; 0)$
D. $\overrightarrow{k} = (0; 0; 1)$
Phần II. Học sinh trả lời từ câu 1 và câu 2.
Trong mỗi ý a), b), c), d) ở mỗi câu, học sinh chọn đúng hoặc sai.
Câu 1. Cho hàm số $f(x) = 2x – e^x$.
a) (NB) Một nguyên hàm của hàm số $f(x)$ là $F(x) = x^2 – e^x + 2025$.
b) (NB) $f(x)$ là một nguyên hàm của hàm số $g(x) = 2 – e^x$.
c) (NB) Nguyên hàm $F(x)$ của hàm số $f(x)$ thỏa mãn $F(0) = 0$ là $F(x) = x^2 – e^x$.
d) (TH) Tích phân $\int_0^1 f(x)dx = 2 – e$.
Câu 2.
Trong không gian $Oxyz$, cho hai mặt phẳng $(P): y = 0$, $(Q): \sqrt{3}x – y – 2025 = 0$. Xét các véc tơ $\overrightarrow{n_1} = (0; 1; 0)$, $\overrightarrow{n_2} = (\sqrt{3}; -1; 0)$.
a) (NB) $\overrightarrow{n_1}$ là một véc tơ pháp tuyến của mặt phẳng $(P)$.
b) (NB) $\overrightarrow{n_2}$ không là một véc tơ pháp tuyến của mặt phẳng $(Q)$.
c) (TH) $\overrightarrow{n_1} \cdot \overrightarrow{n_2} = -1$.
d) (TH) Góc giữa hai mặt phẳng $(P), (Q)$ bằng $30°$.
PHẦN III. Câu trắc nghiệm trả lời ngắn.
Học sinh trả lời từ câu 1 đến câu 4.
Câu 1. (GQ3.1). Một viên đạn được bắn thẳng đứng lên trên từ mặt đất. Giả sử tại thời điểm t giây (coi $t = 0$ là thời điểm viên đạn được bắn lên), vận tốc của nó được cho bởi công thức $v(t) = 160 – 9.8t$ (m/s). Tìm độ cao cao nhất của viên đạn lăm tròn đến hàng đơn vị
Câu 2 (GQ3.2): Một chất điểm $A$ xuất phát từ $O$, chuyển động thẳng với vận tốc biến thiên theo thời gian bởi quy luật $v(t) = \frac{1}{100}t^2 + \frac{13}{30}t$ (m/s), trong đó $t$ (giây) là khoảng thời gian tính từ lúc $A$ bắt đầu chuyển động. Từ trạng thái nghỉ, một chất điểm $B$ cũng xuất phát từ $O$, chuyển động thẳng cùng hướng với $A$ nhưng chậm hơn 10 giây so với $A$ và có gia tốc bằng $a$ (m/s²) ($a$ là hằng số). Sau khi $B$ xuất phát được 15 giây thì đuổi kịp $A$. Vận tốc của $B$ tại thời điểm đuổi kịp $A$ bằng bao nhiêu?
Câu 3 (MH2.1): Một người chạy trong 2 giờ, vận tốc $v$ (km/h) phụ thuộc vào thời gian $t$ (h) có đồ thị là 1 phần của đường Parabol với đỉnh $I(1;5)$ và trục đối xứng song song với trục tung Ov như hình vẽ. Tính quãng đường S người đó chạy được trong 1 giờ 30 phút kể từ lúc bắt đầu chạy (kết quả làm tròn đến 2 chữ số thập phân).

Câu 4. (TH) Trong không gian với hệ tọa độ $Oxyz$, cho điểm $A(2;4;1); B(-1;1;3)$ và mặt phẳng $(P): x – 3y + 2z – 5 = 0$. Một mặt phẳng $(Q)$ đi qua hai điểm $A, B$ và vuông góc với mặt phẳng $(P)$ có dạng $ax + by + cz – 11 = 0$. Tính giá trị của $a + b + c$.
PHẦN IV. Tự luận:
Câu 1( VD) (GQ 3.2) Người ta trồng hoa vào phần đất được tô màu đen được giới hạn bởi cạnh $AB, CD$ đường trung bình $MN$ của mảnh đất hình chữ nhật $ABCD$ và một đường cong hình sin (như hình vẽ). Biết $AB = 2\pi$ (m), $AD = 2$ (m). Tính diện tích phần còn lại.
Câu 2: ( VD) (MH 2.1) Chủ một trung tâm thương mại muốn cho thuê một số gian hàng như nhau. Người đó muốn tăng giá cho thuê của mỗi gian hàng thêm $x$ (triệu đồng) $(x \geq 0)$. Tốc độ thay đổi doanh thu từ các gian hàng đó được biểu diễn bởi hàm số $T'(x) = -20x + 300$, trong đó $T'(x)$ tính bằng triệu đồng (Nguồn: R.Larson anh B. Edwards, Calculus 10e, Cengage). Biết rằng nếu người đó tăng giá thuê cho mỗi gian hàng thêm 10 triệu đồng thì doanh thu là 12 000 triệu đồng. Tìm giá trị của $x$ để người đó có doanh thu là cao nhất?
Câu 3. (VD MH2.1) Vào dịp tết Nguyên Đán, một số thành phố thường tổ chức bắn pháo hoa. Có 2 ống bắn pháo hoa $A$ và $B$ được đặt trong 2 mặt phẳng song song với nhau và cách nhau 2 mS. ống bắn $A$ đặt nghiêng so với mặt đất một góc $80°$ và ống bắn $B$ nghiêng so với mặt đất một góc $70°$. Hai pháo $A$ và $B$ được bắn đồng thời và cung đi được quãng đường 100 m thì nổ. Người ta tính toán rằng để tạo ra hiệu ứng đẹp nhất thì vị trí nổ của 2 quả pháo $A$ và $B$ không cách nhau quá 50 m. Chọn hệ trục tọa độ $Oxyz$ như hình vẽ. Hỏi với cách đặt vị trí như trên thì khi nổ, hai quả pháo $A$ và $B$ cung nổ có tạo ra hiệu ứng đẹp nhất chưa? (ta xem như 2 quả pháo hoa bắn theo đường thẳng và tốc độ bay như nhau).


ThS. Lê Thị Thuý Nga
(Người kiểm duyệt, ra đề)
Chức vụ: Trưởng ban biên soạn môn Toán THPT
Trình độ: Thạc sĩ Lý luận dạy học Toán, Chứng chỉ hạng II, Chứng chỉ Tin học, Ngoại ngữ B1
Kinh nghiệm: 11+ năm kinh nghiệm tại Trường THPT Lương Thế Vinh
