Chọn đến phần học sinh cần nhanh chóng thông qua mục lục bằng cách click đến phần đó
Phần I. Câu trắc trắc nghiệm nhiều lựa chọn.
Học sinh trả lời từ câu 1 đến câu 12 mỗi câu hỏi học sinh chỉ chọn một phương án
Câu 1: (TĐ 1.1) Nguyên hàm của hàm số $y = 3^x$ là
A. $\int 3^x dx = \ln 3.3^x + C$
B. $\int 3^x dx = 3^x + C$
C. $\int 3^x dx = \frac{3^x}{\ln 3} + C$
D. $\int 3^x dx = \frac{3^x}{x + 1} + C$
Câu 2: (TĐ 1.1) Cho hàm số $y = f(x)$ liên tục trên đoạn $[a; b]$. Diện tích hình phẳng giới hạn bởi đồ thị hàm số $y = f(x)$, trục hoành và hai đường thẳng $x = a, x = b$ được tính theo công thức
A. $S = \int_a^b |f(x)|dx$
B. $S = \int_a^b f(x)dx$
C. $S = -\int_a^b f(x)dx$
D. $S = \int_b^a |f(x)|dx$
Câu 3: (TĐ 1.2) Cho hai hàm số $y = f(x)$ và $y = g(x)$ liên tục trên $R$. Mệnh đề nào sau đây là sai?
A. $\int [f(x) – g(x)]dx = \int f(x)dx – \int g(x)dx$
B. $\int [f(x) + g(x)]dx = \int f(x)dx + \int g(x)dx$
C. $\int kf(x)dx = k\int f(x)dx$ với mọi hằng số $k \in R \backslash {0}$
D. $\int f(x).g(x)dx = \int f(x)dx.\int g(x)dx$
Câu 4(TĐ 1.1) Trong không gian với hệ tọa độ $Oxyz$, cho $A(-3; 4; 2)$, $B(-5; 6; 2)$. Mặt phẳng $(P)$ đi qua $A$ và vuông góc với $AB$ có phương trình là
A. $x – y + 1 = 0$
B. $x – y – 1 = 0$
C. $-2x + 2y + 7 = 0$
D. $2x – 2y – 1 = 0$
Câu 5(TĐ 1.1) Biết $\int f(x)dx = F(x) + C$. Khi đó khẳng định nào sau đây đúng?
A. $f'(x) = F(x)$
B. $f'(x) = F(x) + C$
C. $F'(x) = f(x) – C$
D. $F'(x) = f(x)$
Câu 6: (TĐ 1.2) Cho $\int_1^3 f(x)dx = 5$, $\int_2^3 g(x)dx = 4$. Tính $\int_1^2 [f(x) + 2g(x)]dx$.
A. 9
B. 13
C. -3
D. -1
Câu 7: (GQVĐ) Diện tích hình phẳng giới hạn bởi các đường $y = x^2$ và $y = x + 2$ là
A. $S = 9$
B. $S = \frac{9}{4}$
C. $S = \frac{9}{2}$
D. $S = \frac{8}{9}$
Câu 8: (TĐ 1.2) Trong không gian $Oxyz$, cho mặt phẳng $(\alpha): 3x – y + 5 = 0$, vector nào dưới đây có giá vuông góc với $(\alpha)$
A. $\overrightarrow{a} = (2; -3; 1)$
B. $\overrightarrow{b} = (2; 1; -3)$
C. $\overrightarrow{c} = (3; -1; 0)$
D. $\overrightarrow{d} = (3; -1; 5)$
Câu 9(TĐ 1.1) Trong không gian $Oxyz$, cho hai mặt phẳng $(P): 2x – 3y + z – 4 = 0$; $(Q): 5x – 3y – 2z – 7 = 0$, Vị trí tương đối của $(P)$ & $(Q)$ là
A. Song song
B. Cắt nhưng không vuông góc
C. Vuông góc
D. Trung nhau
Câu 10: Tính thể tích $V$ của vật thể nằm giữa hai mặt phẳng $x = 0$, $x = \frac{\pi}{4}$ biết rằng thiết diện của vật thể cắt bởi mặt phẳng vuông góc với trục $Ox$ tại điểm có hoành độ $x\left(0 \leq x \leq \frac{\pi}{4}\right)$ là tam giác đều có cạnh là $2\sqrt{\cos x – \sin x}$.
A. $2\sqrt{5}$
B. $\sqrt{3}(\sqrt{2} – 1)$
C. $\sqrt{3}$
D. $2\pi\sqrt{3}$
Câu 11:(TĐ 1.1) Trong không gian với hệ tọa độ $Oxyz$, cho mặt phẳng $(Q)$: $x – 2y + 2z – 5 = 0$. Xét mặt phẳng $(Q)$: $mx – y + z – m = 0$, là tham số thực. Tìm tất cả các giá trị của $m$ để $(Q)$ vuông góc với $(P)$.
A. $m = 1$
B. $m = 4$
C. $m = -1$
D. $m = -4$
Câu 12: Trong không gian $Oxyz$, phương trình của mặt phẳng $(P)$ song song với mặt phẳng $(Q): x + 2y + z – 10 = 0$ và cách điểm $M(1; 0; 3)$ một khoảng bằng $\sqrt{6}$ là
A. $x + 2y + z + 2 = 0$ hoặc $x + 2y + z – 10 = 0$
B. $x + 2y + z + 10 = 0$
C. $x + 2y + z – 2 = 0$ hoặc $x + 2y + z + 10 = 0$
D. $x + 2y + z + 2 = 0$
Phần II. Học sinh trả lời từ câu 1 và câu 2.
Trong mỗi ý a), b), c), d) ở mỗi câu, học sinh chọn đúng hoặc sai.
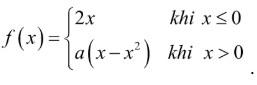
Câu 1: Cho số thực $a$ và hàm số 
a) [NB] $\int_{-1}^0 f(x)dx = \int_{-1}^0 2x dx$
b) [TH] $\int_0^1 f(x)dx = -\frac{a}{6}$.
c) [TH] Khi $a = 2$, $\int_{-1}^1 f(x)dx = -\frac{2}{3}$.
d) [VD] Điều kiện cần và đủ để $\int_{-1}^2 f(x)dx > 3$ là $a > -6$.
Câu 2: Trong không gian $Oxyz$, cho điểm $A(1; 6; -7)$, $B(3; 2; 1)$ và mặt phẳng $(P)$ có phương trình $x + y – z – 6 = 0$
a) [NB] Mặt phẳng $(P)$ có vector pháp tuyến $\overrightarrow{n}(1; 1; -1)$
b) [TH] Mặt phẳng $(Q)$ đi qua điểm $A$ và song song với mặt phẳng $(P)$ có phương trình là $x + y – z + 14 = 0$
c) [TH] Phương trình mặt phẳng trung trực của đoạn $AB$ là $x – 2y + 4z + 18 = 0$.
d) [VD] $M$ là một điểm trên mặt phẳng $(P)$, tổng $MA + MB$ ngắn nhất khi $M\left(\frac{13}{5}; \frac{14}{5}; \frac{3}{5}\right)$
PHẦN III. Câu trắc nghiệm trả lời ngắn.
Học sinh trả lời từ câu 1 đến câu 4.
Câu 1: (MH2.1) Một bể chứa nhiên liệu hình trụ đặt nằm ngang, có chiều dài 5 m, có bán kính đáy 1m. Chiều cao của mực nhiên liệu là 1,5m. Tính thể tích phần nhiên liệu trong bể (theo đơn vị m³, làm tròn đến chữ số thập phân hàng phần trục).

Câu 2: (GQ) Cho hàm số $f(x)$ xác định và có đạo hàm trên $(0; +\infty)$ thỏa mãn $3f'(x).e^{f(x)} – \frac{2x}{f^2(x)} = 0$ với $\forall x \in \mathbb{R}$. Biết $f(1) = 0$, tính tích phân $I = \int_1^{2024} \frac{1}{\sqrt[3]{2\ln x}} \cdot f(x)dx$.
Câu 3(TH) Trong không gian với hệ trục tọa độ $Oxyz$, cho hai mặt phẳng $(P_1): 4x – 3m^2y – 2z + 4 = 0$ và $(P_2): 5x – 2y + 13z + m + 9 = 0$ với $m$ là tham số. Tìm số giá trị nguyên dương của tham số $m$ để $(P_1) \perp (P_2)$.
Câu 4: (VD-MH 3.2) Trong không gian với hệ trục tọa độ $Oxyz$ (đơn vị trên mỗi trục tọa độ là kilômét), một máy bay đang ở vị trí $A(3; -2; 1)$ và sẽ hạ cánh ở vị trí $B(4; 6; 5; 0)$ trên đường băng (như hình vẽ). Có một lớp mây được mô phỏng bởi mặt phẳng $(\alpha)$ đi qua ba điểm $M(8; 0; 0)$, $N(0; -8; 0)$ và $P(0; 0; 0; 8)$. Tính độ cao của máy bay khi máy bay xuyên qua đám mây để hạ cánh (Làm tròn đến chữ số thập phân thứ hai).

PHẦN IV. Tự luận:
Câu 1: (VD-MH 3.1) Người ta dự định lắp kính cho cửa của một mái vòm có dạng hình parabol. Hãy tính diện tích mặt kính cần lắp vào, biết rằng vòm cửa cao $21m$ và rộng $70m$ (Hình).

Câu 2: (VD-GQ3.2) Kí hiệu $F(x)$ là chiều cao của một cây (tính theo mét) sau khi trồng $x$ năm. Biết rằng sau năm đầu tiên cây cao $4m$. Trong $16$ năm tiếp theo cây phát triển với tốc độ $f'(x) = \frac{1}{2x+1}$ (m/năm). Xác định chiều cao của cây sau $5$ năm.
Câu 3: (VD-GQ3.1) Trong mặt phẳng $OXYZ$ cho điểm $M(1;4;9)$. Gọi $(P)$ là mặt phẳng đi qua $M$ và cắt ba trục $Ox; Oy; Oz$ tại các điểm $A, B, C$ (khác $O$) sao cho $OA + OB + OC$ đạt giá trị nhỏ nhất. Tính khoảng cách từ gốc tọa độ $O$ đến mặt phẳng $(P)$

ThS. Lê Thị Thuý Nga
(Người kiểm duyệt, ra đề)
Chức vụ: Trưởng ban biên soạn môn Toán THPT
Trình độ: Thạc sĩ Lý luận dạy học Toán, Chứng chỉ hạng II, Chứng chỉ Tin học, Ngoại ngữ B1
Kinh nghiệm: 11+ năm kinh nghiệm tại Trường THPT Lương Thế Vinh
