Chọn đến phần học sinh cần nhanh chóng thông qua mục lục bằng cách click đến phần đó
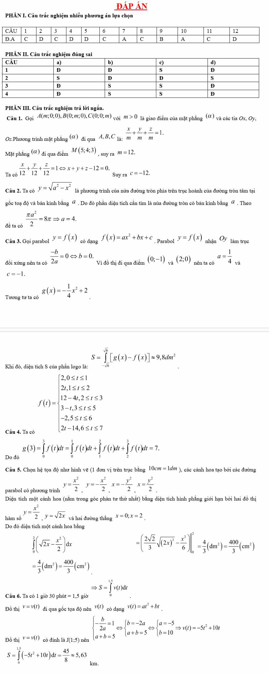
PHẦN I. Câu trắc nghiệm nhiều phương án lựa chọn.
Thí sinh trả lời từ câu 1 đến câu 12. Mỗi câu hỏi thí sinh chỉ chọn một phương án.
Câu 1: (NB) Hàm số $F(x)$ là một nguyên hàm của hàm số $f(x)$ trên khoảng $K$ nếu
A. $F'(x) = -f(x), \forall x \in K$
B. $f'(x) = F(x), \forall x \in K$
C. $F'(x) = f(x), \forall x \in K$
D. $f'(x) = -F(x), \forall x \in K$
Câu 2: (NB) Cho hai hàm số $y = f(x)$ và $y = g(x)$ liên tục trên $\mathbb{R}$. Mệnh đề nào sau đây sai?
A. $\int [f(x) – g(x)]dx = \int f(x)dx – \int g(x)dx$
B. $\int [f(x) + g(x)]dx = \int f(x)dx + \int g(x)dx$
C. $\int kf(x)dx = k\int f(x)dx$ với mọi hằng số $k \in \mathbb{R} \backslash {0}$
D. $\int f(x).g(x)dx = \int f(x)dx.\int g(x)dx$
Câu 3: (NB) Hàm số $F(x) = 2\sin x – 3\cos x$ là một nguyên hàm của hàm số
A. $f(x) = -2\cos x – 3\sin x$
B. $f(x) = -2\cos x + 3\sin x$
C. $f(x) = 2\cos x + 3\sin x$
D. $f(x) = 2\cos x – 3\sin x$
Câu 4: (NB) Cho hàm số $f(x)$ có một nguyên hàm trên $\mathbb{R}$ là $F(x)$. Biết $F(0) = 1$ và $F(2) = 5$, giá trị của $\int_0^2 f(x)dx$ bằng
A. -4
B. 6
C. 2
D. 4
Câu 5: (NB) Cho $f(x)$ là hàm số liên tục trên đoạn $[a; b]$ và $c \in [a; b]$. Tìm mệnh đề đúng trong các mệnh đề sau.
A. $\int_a^c f(x)dx + \int_c^b f(x)dx = \int_b^a f(x)dx$
B. $\int_a^c f(x)dx – \int_c^b f(x)dx = \int_a^b f(x)dx$
C. $\int_a^c f(x)dx + \int_c^a f(x)dx = \int_c^b f(x)dx$
D. $\int_a^c f(x)dx + \int_c^b f(x)dx = \int_a^b f(x)dx$
Câu 6: (NB) Cho hàm số $f(x)$ có đạo hàm liên tục trên đoạn $[1; 3]$ thỏa mãn $f(1) = 2$ và $f(3) = 9$. Tính $I = \int_1^3 f'(x)dx$.
A. $I = 18$
B. $I = 11$
C. $I = 7$
D. $I = 2$
Câu 7: (NB) Cho $\int_0^2 f(x)dx = 6$. Giá trị của $\int_0^2 2f(x)dx$ bằng
A. 12
B. 3
C. 4
D. 24
Câu 8: (NB) Biết $\int_1^2 f(x)dx = 3$ và $\int_1^2 g(x)dx = 2$, giá trị của $\int_1^2 [f(x) – g(x)]dx$ bằng
A. 5
B. -1
C. 1
D. 6
Câu 9: (NB) Cho $\int_0^2 f(x)dx = 6$. Giá trị của $\int_0^2 (f(x) + 2^x)dx$ bằng
A. $\frac{20}{3}$
B. $6 + \frac{3}{\ln 2}$
C. $6 + 3\ln 2$
D. $6 + \frac{4}{\ln 2}$
Câu 10: (NB) Trong không gian $Oxyz$, cho mặt phẳng $(P): 3x – z + 2 = 0$. Vector nào dưới đây là một vector pháp tuyến của $(P)$?
A. $\overrightarrow{n_3} = (3; 0; -1)$
B. $\overrightarrow{n_2} = (3; -1; 0)$
C. $\overrightarrow{n_4} = (-1; 0; -1)$
D. $\overrightarrow{n_1} = (3; -1; 2)$
Câu 11: (NB) Trong không gian $Oxyz$, điểm nào sau đây thuộc mặt phẳng $(P): x – y + z + 2 = 0$?
A. $M_3(0; 2; 1)$
B. $M_4(0; -2; 1)$
C. $M_2(0; 2; 0)$
D. $M_1(0; -2; 0)$
Câu 12: (TH) Trong không gian $Oxyz$, cho ba điểm $M(3, -1, 2)$, $N(4, -1, -1)$, $P(2, 0, 2)$. Mặt phẳng $(MNP)$ có phương trình là
A. $3x + 3y – z – 8 = 0$
B. $3x – 2y + z – 8 = 0$
C. $3x + 3y – z + 8 = 0$
D. $3x + 3y + z – 8 = 0$
PHẦN II. Câu trắc nghiệm đúng sai.
Thí sinh trả lời từ câu 1 đến câu 4. Trong mỗi ý a), b), c), d) ở mỗi câu, thí sinh chọn đúng hoặc sai.
Câu 1. Cho hàm số $f(x) = x^3 – 2024x + 2025$.
a) (TH) Một nguyên hàm của hàm số $f(x)$ là $F(x) = \frac{1}{4}x^4 – 1012x^2 + 2025x$.
b) (TH) $f(x)$ là một nguyên hàm của hàm số $g(x) = 3x^2 – 2024$.
c) (TH) Nguyên hàm $F(x)$ của hàm số $f(x)$ thỏa mãn $F(0) = 3$ là $F(x) = \frac{1}{4}x^4 – 1012x^2 + 2025x$.
d) (TH) Tích phân $\int_0^1 f(x)dx = \frac{4053}{4}$.
Câu 2. Biết $F(x)$ là một nguyên hàm của hàm số $f(x) = \frac{2x + 1}{x – 1}$ trên khoảng $(1; +\infty)$.
a) (NB) $F'(x) = f(x), \forall x \in (1; +\infty)$.
b) (TH) $F(x) = 2x + 3\ln(x – 1) + 2024$.
c) (TH) Biết $F(2) = 3$, khi đó $F(5) = 9 + 6\ln 2$.
d) (NB) $\int_2^5 f(x)dx = 6\ln 2$.
Câu 3. Vào năm 2014, dân số nước ta khoảng 90,7 triệu người. Giả sử, dân số nước ta sau $t$ năm được xác định bởi hàm số $S(t)$ (triệu người), trong đó tốc độ gia tăng dân số được cho bởi $S'(t) = 1,2698e^{0,014t}$, với $t$ là thời gian kể từ năm 2014. $S'(t)$ tính bằng triệu người/năm.
a) (NB) $S(t)$ là một nguyên hàm của $S'(t)$.
b) (TH) $S(t) = 90,7e^{0,014t} + 90,7$.
c) (TH) Theo công thức trên, tốc độ tăng trưởng dân số nước ta năm 2034 (làm tròn đến hàng phần mười của triệu người/năm) là khoảng 1,7 triệu người/năm.
d) (TH) Theo công thức trên, dân số nước ta năm 2034 (làm tròn đến hàng đơn vị của triệu người) là khoảng 120 triệu người.
Câu 4. Trong không gian $Oxyz$, cho hai mặt phẳng $(P): y = 0$, $(Q): \sqrt{3}x – y – 2024 = 0$. Xét các véc tơ $\overrightarrow{n_1} = (0; 1; 0)$, $\overrightarrow{n_2} = (\sqrt{3}; -1; 0)$.
a) (NB) $\overrightarrow{n_1}$ là một véc tơ pháp tuyến của mặt phẳng $(P)$.
b) (NB) $\overrightarrow{n_2}$ không là một véc tơ pháp tuyến của mặt phẳng $(Q)$.
c) (TH) $\overrightarrow{n_1} \cdot \overrightarrow{n_2} = -1$.
d) (TH) Góc giữa hai mặt phẳng $(P), (Q)$ bằng $30°$.
PHẦN III. Câu trắc nghiệm trả lời ngắn.
Thí sinh trả lời từ câu 1 đến câu 6.
Câu 1. (TH) Trong không gian $Oxyz$, mặt phẳng $(\alpha)$ đi qua điểm $M(5; 4; 3)$ và cắt các trục $Ox, Oy, Oz$ các đoạn bằng nhau có phương trình là $x + ay + bz + c = 0$. Tìm giá trị của $c$?
Câu 2. [VD] Cho tích phân $I = \int_{-a}^a \sqrt{a^2 – x^2}dx$, với $a > 0$. Tìm giá trị của $a$ để $I = 8\pi$.
Câu 3. [VD] Bạn An nhận thiết kế logo hình con mắt (phần được tô đậm trong hình 7) cho một cơ sở y tế. Logo là hình phẳng giới hạn bởi 2 parabol $y = f(x)$ và $y = g(x)$ như hình 7 (đơn vị trên mỗi trục tọa độ là dm). Bạn An cần tính diện tích của logo để báo giá cho cơ sở y tế đó trước khi kí hợp đồng. Diện tích của logo bằng $x$ $dm^2$ (làm tròn kết quả đến hàng phần mười). Tìm $x$.

Câu 4. [VD] Cho $g(x) = \int_0^x f(t)dt, (0 \leq x \leq 7)$ trong đó $f(t)$ là hàm số có đồ thị như hình dưới đây.

Tính $g(3)$.
Câu 5. [VD] Một viên gạch hoa hình vuông cạnh $40cm$. Người thiết kế đã sử dụng bốn đường parabol có chung đỉnh tại tâm viên gạch để tạo ra bốn cánh hoa (được tô màu sẫm như hình vẽ bên).

Tính diện tích mỗi cánh hoa của viên gạch (làm tròn đến chữ số hàng đơn vị).
Câu 6. [VD] Một người chạy trong 2 giờ, vận tốc $v$ (km/h) phụ thuộc vào thời gian $t$ (h) có đồ thị là 1 phần của đường Parabol với đỉnh $I(1; 5)$ và trục đối xứng song song với trục tung $Ov$ như hình vẽ. Quãng đường $S$ người đó chạy được trong 1 giờ 30 phút kể từ lúc bắt đầu chạy bằng $x$ km (kết quả làm tròn đến 2 chữ số thập phân). Tìm $x$.


ThS. Lê Thị Thuý Nga
(Người kiểm duyệt, ra đề)
Chức vụ: Trưởng ban biên soạn môn Toán THPT
Trình độ: Thạc sĩ Lý luận dạy học Toán, Chứng chỉ hạng II, Chứng chỉ Tin học, Ngoại ngữ B1
Kinh nghiệm: 11+ năm kinh nghiệm tại Trường THPT Lương Thế Vinh
